Chapter 2 Financial Statement Analysis Solutions
Solutions For Financial Analysis Problems Financial Statement Analysis Solutions Chapter 9 1 C Is Correct To Address This Question We Need To first Course Hero

Statement Of Financial Position Example Format Definition Explained
Pdf Chapter 2 Financial Statements And Analysis Thuy Linh Trần Thị Academia Edu
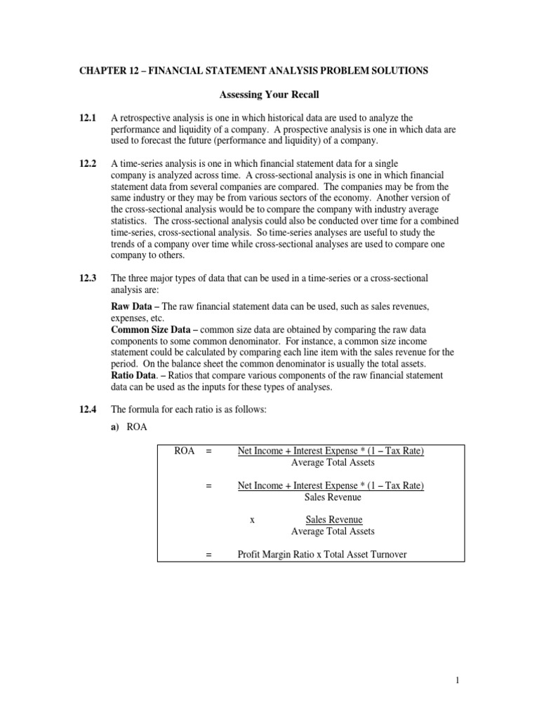
Financial Statement Analysis Problems Solution Pdf Revenue Leverage Finance
Financial And Managerial Accounting Chapter 2 Solution For More Of This Course And Any Other Studocu
No comments for "Chapter 2 Financial Statement Analysis Solutions"
Post a Comment